题目
998.
最大二叉树 II
最大树
定义:一棵树,并满足:其中每个节点的值都大于其子树中的任何其他值。
给你最大树的根节点 root 和一个整数 val
。
就像 之前的问题
那样,给定的树是利用 Construct(a) 例程从列表
a(root = Construct(a))递归地构建的:
- 如果
a 为空,返回 null 。
- 否则,令
a[i] 作为 a
的最大元素。创建一个值为 a[i] 的根节点 root
。
root 的左子树将被构建为
Construct([a[0], a[1], ..., a[i - 1]]) 。
root 的右子树将被构建为
Construct([a[i + 1], a[i + 2], ..., a[a.length - 1]])
。
- 返回
root 。
请注意,题目没有直接给出 a ,只是给出一个根节点
root = Construct(a) 。
假设 b 是 a 的副本,并在末尾附加值
val。题目数据保证 b 中的值互不相同。
返回 Construct(b) 。
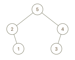
示例 1:
/maximum-binary-tree-1-1.png)
/maximum-binary-tree-1-2.png)
输入:root = [4,1,3,null,null,2], val = 5
输出:[5,4,null,1,3,null,null,2]
解释:a = [1,4,2,3], b = [1,4,2,3,5]
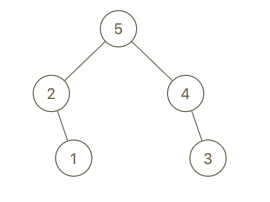
示例 2:
![img]()
/maximum-binary-tree-2-2.png)
输入:root = [5,2,4,null,1], val = 3
输出:[5,2,4,null,1,null,3]
解释:a = [2,1,5,4], b = [2,1,5,4,3]
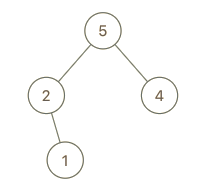
示例 3:
![img]()
/maximum-binary-tree-3-2.png)
输入:root = [5,2,3,null,1], val = 4
输出:[5,2,4,null,1,3]
解释:a = [2,1,5,3], b = [2,1,5,3,4]
提示:
- 树中节点数目在范围
[1, 100] 内
1 <= Node.val <= 100
- 树中的所有值 互不相同
1 <= val <= 100
标签
树, 二叉树
相似题目
题解
【最大二叉树
II】简单模拟递归&非递归
模拟&递归
建议先看看 之前的问题(题解)
再看这题比较容易理解。
之前的问题
是通过数组构建二叉树,而这题是给出 之前的问题
中已经构建好的树,然后在数组末尾再插入一个值,现在要我们将新加入的值插入到已有的二叉树中。
其实分情况讨论一下即可:
- 若根节点为空,那么直接构建一个
TreeNode 并返回即可
- 若给定的
val
比根节点的值大,那么插入的值就是新的根节点,而新插入的值是在原数组最右边的,所以原来的
root 就是新的 root 的左子树
- 若不是前面两种情况,我们只需递归的在右子树中插入即可(同样是因为新插入的值是在原数组最右边所以是右子树)
1 2 3 4 5 6 7 8 9
| class Solution: def insertIntoMaxTree(self, root: Optional[TreeNode], val: int) -> Optional[TreeNode]: if not root: return TreeNode(val) if root.val < val: return TreeNode(val, root, None) root.right = self.insertIntoMaxTree(root.right, val) return root
|
1 2 3 4 5 6 7 8 9
| class Solution { public TreeNode insertIntoMaxTree(TreeNode root, int val) { if (root == null) return new TreeNode(val); if (root.val < val) return new TreeNode(val, root, null); root.right = insertIntoMaxTree(root.right, val); return root; } }
|
1 2 3 4 5 6 7 8 9 10
| class Solution { public: TreeNode* insertIntoMaxTree(TreeNode* root, int val) { if (root == nullptr) return new TreeNode(val); if (root->val < val) return new TreeNode(val, root, nullptr); root->right = insertIntoMaxTree(root->right, val); return root; } };
|
1 2 3 4 5 6 7 8 9 10 11 12
|
var insertIntoMaxTree = function(root, val) { if (root == undefined) return new TreeNode(val); if (root.val < val) return new TreeNode(val, root, undefined); root.right = insertIntoMaxTree(root.right, val); return root; };
|
- 时间复杂度: \(O(n)\)
- 空间复杂度: \(O(n)\)
非递归
其实理解了题目的话非递归实现也很简单,我们从根节点向右子树一路查找下去找到第一个比
val
小的结点用新建的结点取代其位置而原结点是新结点的右子树
讲得有点绕,但代码还是很好理解的
PS:设置一个哑结点就不用单独处理 val 比
root.val 还大以及 root 为空结点的情况啦~
1 2 3 4 5 6 7 8 9
| class Solution: def insertIntoMaxTree(self, root: Optional[TreeNode], val: int) -> Optional[TreeNode]: dummy = TreeNode(999, None, root) p = dummy while p.right and p.right.val > val: p = p.right p.right = TreeNode(val, p.right, None) return dummy.right
|
1 2 3 4 5 6 7 8 9
| class Solution { public TreeNode insertIntoMaxTree(TreeNode root, int val) { TreeNode dummy = new TreeNode(999, null, root), p = dummy; while (p.right != null && p.right.val > val) p = p.right; p.right = new TreeNode(val, p.right, null); return dummy.right; } }
|
1 2 3 4 5 6 7 8 9 10 11 12
| class Solution { public: TreeNode* insertIntoMaxTree(TreeNode* root, int val) { TreeNode* dummy = new TreeNode(999, nullptr, root); TreeNode* p = dummy; while (p->right != nullptr && p->right->val > val) p = p->right; p->right = new TreeNode(val, p->right, nullptr); p = dummy->right; delete dummy; return p; } };
|
1 2 3 4 5 6 7 8 9 10 11 12
|
var insertIntoMaxTree = function(root, val) { let dummy = new TreeNode(999, undefined, root), p = dummy; while (p.right != undefined && p.right.val > val) p = p.right; p.right = new TreeNode(val, p.right, undefined); return dummy.right; };
|
- 时间复杂度: \(O(n)\)
- 空间复杂度: \(O(1)\)
如果对你有帮助的话,请给我点个赞吧~
欢迎前往 我的博客
或 Algorithm -
Github 查看更多题解