题目
给你一棵二叉树的根节点 root ,返回树的
最大宽度 。
树的 最大宽度 是所有层中最大的 宽度 。
每一层的 宽度
被定义为该层最左和最右的非空节点(即,两个端点)之间的长度。将这个二叉树视作与满二叉树结构相同,两端点间会出现一些延伸到这一层的
null 节点,这些 null 节点也计入长度。
题目数据保证答案将会在 32 位 带符号整数范围内。
示例 1:
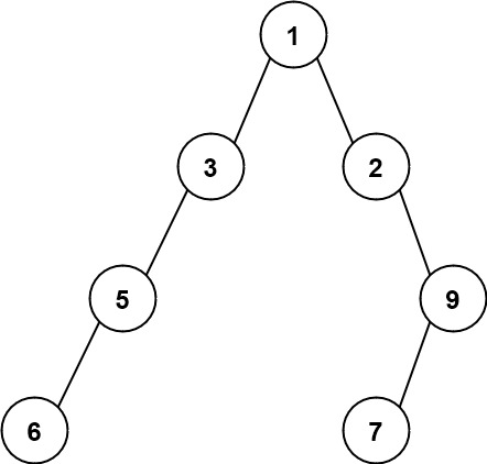
输入:root = [1,3,2,5,3,null,9]
输出:4
解释:最大宽度出现在树的第 3 层,宽度为 4 (5,3,null,9) 。
示例 2:
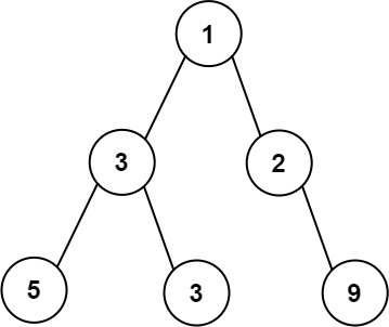
输入:root = [1,3,2,5,null,null,9,6,null,7]
输出:7
解释:最大宽度出现在树的第 4 层,宽度为 7 (6,null,null,null,null,null,7) 。
示例 3:
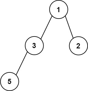
输入:root = [1,3,2,5]
输出:2
解释:最大宽度出现在树的第 2 层,宽度为 2 (3,2) 。
提示:
- 树中节点的数目范围是
[1, 3000] -100 <= Node.val <= 100
标签
树, 深度优先搜索, 广度优先搜索, 二叉树
题解
DFS与模拟
统计二叉树每层最左结点的位置和最右位置然后再计算距离即可,所谓结点所在位置按照满二叉树编号易得规律为:
- 左孩子编号是父节点编号的两倍,即 \(left = 2 \times root\)
- 右孩子编号是父节点编号的两倍加一,即 \(right = 2 \times root + 1\)
注意到树高度最大可能有 3000 层,也就是说最大编号可能达到 \(2^{3000}\), 但答案保证在 32 位整数范围内,也就是说最左和最右的位置不会超过 \(2^{32}\),所以对编号进行取余即可,为了避免取余后左结点编号小右结点编号大的情况,需要将数据设置为 long 即可保证最后的距离不会溢出。
实际操作中,使用位移运算代替直接的乘法运算即可起到乘 2 且取余的效果。
1 | # Code language: Python |
1 | // Code language: Java |
- 时间复杂度: \(O(n)\)
- 空间复杂度: \(O(n)\)
如果对你有帮助的话,请给我点个赞吧~
欢迎前往 我的博客 或 Algorithm - Github 查看更多题解
/width1-tree.jpg)
/maximum-width-of-binary-tree-v3.jpg)
/width3-tree.jpg)