0%

『LeetCode』515 在每个树行中找最大值

题目

515. 在每个树行中找最大值

给定一棵二叉树的根节点 root ,请找出该二叉树中每一层的最大值。

示例1:

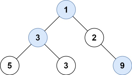
largest_e1

输入: root = [1,3,2,5,3,null,9]
输出: [1,3,9]

示例2:

输入: root = [1,2,3]
输出: [1,3]

提示:

  • 二叉树的节点个数的范围是 \([0,10^{4}]\)
  • \(-2^{31} <= Node.val <= 2^{31} - 1\)

标签

树, 深度优先搜索, 广度优先搜索, 二叉树


题解

【在每个树行中找最大值】常规二叉树遍历の『DFS』&『BFS』

深度优先搜索

记录层数,动态更新每层的最大值即可

1
2
3
4
5
6
7
8
9
10
11
12
13
14
15
16
# Code language: Python
class Solution:
def largestValues(self, root: Optional[TreeNode]) -> List[int]:
ans = list()

def dfs(root, h):
if root:
if h >= len(ans):
ans.append(root.val)
else:
ans[h] = max(ans[h], root.val)
dfs(root.left, h + 1)
dfs(root.right, h + 1)

dfs(root, 0)
return ans
1
2
3
4
5
6
7
8
9
10
11
12
13
14
15
16
// Code language: Java
class Solution {
public List<Integer> largestValues(TreeNode root) {
List<Integer> ans = new ArrayList<>();
dfs(root, 0, ans);
return ans;
}

public void dfs(TreeNode root, int h, List<Integer> ans) {
if (root != null) {
if (h >= ans.size()) ans.add(root.val);
else ans.set(h, Math.max(ans.get(h), root.val));
dfs(root.left, h + 1, ans); dfs(root.right, h + 1, ans);
}
}
}
1
2
3
4
5
6
7
8
9
10
11
12
13
14
15
16
// Code language: C++
class Solution {
public:
vector<int> largestValues(TreeNode* root) {
vector<int> ans;
function<void(TreeNode*, int)> dfs = [&ans, &dfs](TreeNode* root, int h) {
if (root != nullptr) {
if (h >= ans.size()) ans.emplace_back(root->val);
else ans[h] = max(ans[h], root->val);
dfs(root->left, h + 1); dfs(root->right, h + 1);
}
};
dfs(root, 0);
return ans;
}
};
  • 时间复杂度: \(O(n)\), \(n\) 表示二叉树结点数量
  • 空间复杂度: \(O(n)\)

广度优先搜索

分层 BFS,记录每层最大值即可。

1
2
3
4
5
6
7
8
9
10
11
12
13
14
15
16
# Code language: Python
class Solution:
def largestValues(self, root: Optional[TreeNode]) -> List[int]:
st = deque()
ans = list()
if root:
st.append(root)

while st:
ans.append(max(node.val for node in st))
for _ in range(len(st)):
cur = st.popleft()
if cur.left: st.append(cur.left)
if cur.right: st.append(cur.right)

return ans
1
2
3
4
5
6
7
8
9
10
11
12
13
14
15
16
17
18
19
20
// Code language: Java
class Solution {
public List<Integer> largestValues(TreeNode root) {
Deque<TreeNode> st = new ArrayDeque<>();
List<Integer> ans = new ArrayList<>();
if (root != null) st.add(root);

while (!st.isEmpty()) {
int val = st.peek().val;
for (int i = 0, n = st.size(); i < n; ++i) {
TreeNode cur = st.pollFirst();
val = Math.max(val, cur.val);
if (cur.left != null) st.addLast(cur.left);
if (cur.right != null) st.addLast(cur.right);
}
ans.add(val);
}
return ans;
}
}
1
2
3
4
5
6
7
8
9
10
11
12
13
14
15
16
17
18
19
20
21
22
// Code language: C++
class Solution {
public:
vector<int> largestValues(TreeNode* root) {
queue<TreeNode*> st;
vector<int> ans;
if (root != nullptr) st.push(root);

while (!st.empty()) {
int val = st.front()->val;
for (int i = 0, n = st.size(); i < n; ++i) {
TreeNode* cur = st.front();
st.pop();
val = max(val, cur->val);
if (cur->left != nullptr) st.push(cur->left);
if (cur->right != nullptr) st.push(cur->right);
}
ans.push_back(val);
}
return ans;
}
};
  • 时间复杂度: \(O(n)\), \(n\) 表示二叉树结点数量
  • 空间复杂度: \(O(n)\)

如果对你有帮助的话,请给我点个赞吧~

欢迎前往 我的博客Algorithm - Github 查看更多题解

--- ♥ end ♥ ---

欢迎关注我呀~